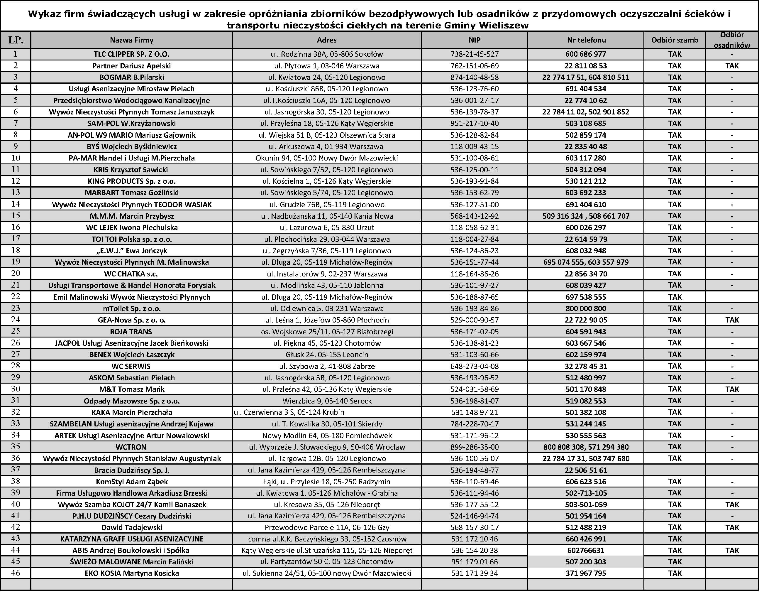
Ważne informacje Opublikowano w Aktualności Wykaz firm odbierającyc nieczystości ciekłeWykaz firm odpady komunalne